Fip Vaccine Cats Uk

Effective vaccines are available for at-risk cats but are not given to most pets. Can FIP be prevented.

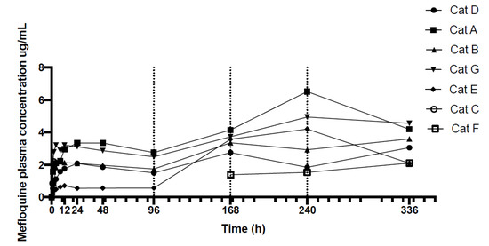
Animals Free Full Text Pharmacokinetic Profile Of Oral Administration Of Mefloquine To Clinically Normal Cats A Preliminary In Vivo Study Of A Potential Treatment For Feline Infectious Peritonitis Fip Html

A vaccine is used in the United States but it is not reliable and it does not work against all the types of FIV.

Fip vaccine cats uk. And 25 years later the first and still only FIP vaccine was introduced in the US and is. Felocell FIP contains an attenuated temperature-sensitive TS strain of FIP virus propagated on an established feline cell line. Is there a vaccine against FIP.

Is there a FIV cat vaccine. There is no cure for FIP. This is given under the skin at the back of the neck and is well tolerated by the vast majority of cats.

Are other cats in the household at risk. You and your veterinarian can discuss whether vaccination is appropriate for your cat. The virus will then be called feline infectious peritonitis virus.

Cat flu both feline herpesvirus fHV and feline calicivirus FCV Feline panleukopenia virus FPV Feline leukaemia virus FeLV. Breeding catteries animal shelters etc. If your cat has FIP other cats in your household may be at a greater risk for becoming infected with feline coronavirus.

Currently the vaccines for FIP are not recommended for general use. There is an available vaccine for feline infectious peritonitis but its effectiveness remains a controversial topic. Felocell FIP is for intranasal IN vaccination of healthy cats 16 weeks of age or older as an aid in preventing feline infectious peritonitis caused by feline infectious peritonitis virus FIPV.

A Widespread Source of Feline Woe. There is no vaccine available currently in the UK. In SPF cats after two oronasal and two intramuscular vaccinations with two weeks intervals both vaccine candidates provided 100 protection against lethal homologous challenge with the highly virulent FIPV DF-2 strain.

Vaccines are combined into a single injection so your cat only has to have one needle. The feline infectious peritonitis FIP vaccine is rarely effective under real-world scenarios and should rarely if ever be given. FCoV is common in places where large groups of cats are housed together indoors eg.

The Special Needs of the Senior Cat. Treatment may be given to relieve the symptoms but sadly most affected cats have to be euthanased. 7222019 Cats who avoid crowded places like boarding facilities are unlikely to be exposed to it.

However it was not until 1966 that feline infectious peritonitis FIP was described as a distinct clinical entity and the infectious nature of the disease was described. Infection of cats with FIP virus results in production of serum antibodies which may be protective in conjunction with cell mediated immunity may provided no protection at all or may produce an immune enhancement to subsequent exposure to another FIP virus or a recrudescence of the original infecting virus. Unfortunately there is no vaccine in the UK to protect against.

Feline infectious peritonitis FIP is a viral disease of cats caused by certain strains of a virus called the feline coronavirus. Feline infectious peritonitis FIP is a viral disease that occurs worldwide in wild and domestic cats. It is caused by a type of virus called a coronavirus which tends to attack the cells of the intestinal wall.

1252020 About 5 to 10 per cent of cats with FCoV eventually progress into clinical FIP. Indicate whether a cat will develop FIP and a negative result cannot rule out FCoV infection. When an FIP-producing strain of FCoV emerges whether a cat will develop FIP or will remain healthy depends on the quality of its immune response.

All kittens must be given core vaccines which include. The exact vaccine will differ year on year depending on the vaccine schedule but all cats require vaccination against at least one disease annually. Is there any treatment for FIP.

It is important to remember that FIP in cats is contagious to other felines although not infectious to humans or other animals. A strong immune response especially the type of immunity termed cell mediated immunity may enable the cat to control the infection and prevent signs developing. In 1970 the coronavirus that causes FIP was isolated and characterized.

It also poses problems for vets because a vaccinated cat will test positive for FIV. So common many cats are FCoV antibody positive including many healthy cats and cats with FIP are occasionally FCoV antibody negative see section 13 Sick cats where there is suspicion of FIP If the cat has an effusion fluid usually in the abdomen or chest this can be sampled and assessed for colour viscosity and specific gravity. In 1981 another coronavirus was isolated.

572020 Other veterinary vaccines for coronaviruses that are commercially available in the UK include vaccines against canine enteric coronavirus infection in dogs porcine epidemic diarrhoea virus and transmissible gastroenteritis virus infection in pigs and bovine coronavirus virus infection to prevent shipping fever in young calves see Table.

Home Jonathan Wood Veterinary Surgeons

Feline Infectious Peritonitis

Viruses Free Full Text Rapid Resolution Of Non Effusive Feline Infectious Peritonitis Uveitis With An Oral Adenosine Nucleoside Analogue And Feline Interferon Omega Html

What Is Fip Goddard Veterinary Group

Https Www Tandfonline Com Doi Pdf 10 1080 17415349 2019 1629366

Legal Treatment For Cat Disease Known As Fip Still Years Away News Vin

Feline Coronavirus Fcov And Feline Infectious Peritonitis Fip Home Health Uk

Fip Hope Treating The Untreatable International Cat Care

Advances In Molecular Diagnostics And Treatment Of Feline Infectious Peritonitis Advances In Small Animal Care

Https Www Advancesinsmallanimalcare Com Article S2666 450x 20 30011 0 Pdf

Pathogens Free Full Text The Effect Of Natural Feline Coronavirus Infection On The Host Immune Response A Whole Transcriptome Analysis Of The Mesenteric Lymph Nodes In Cats With And Without Feline Infectious

Https Www Prideveterinarycentre Co Uk Userfiles Referred 20pets Medicine 20handouts Fip Pdf

Home Jonathan Wood Veterinary Surgeons

Viruses Free Full Text Diagnosis Of Feline Infectious Peritonitis A Review Of The Current Literature Html

Veterinary Guides Cats Protection

Https Catvets Com Public Pdfs Practiceguidelines Guidelines Vaccination Felinecalicivirus Factsheet Pdf

Black Market Cure For Cats With Coronavirus Is Illegal But Is Saving Thousands Of Lives Abc7 Los Angeles

Vaccinating Your Cat International Cat Care

Feline Infectious Peritonitis


Post a Comment for "Fip Vaccine Cats Uk"